ولاية كارولينا الجنوبية أصبحت مقرا لمشروع قطري مشبوه لإنتاج طائرات تجسس بتخطيط من الحمدين يتحمل تكاليفه القطريون دون علمهم
حذرت تقارير إعلامية أمريكية من مشروع قطري عمره شهور، تعمد تنظيم الحمدين إخفاءه عن مواطنيه، يستخدم لتلميع صورة النظام القطري مخصص لإنتاج طائرات المراقبة والتجسس.
اللافت في المشروع القطري المشبوه هو استخدام أموال القطريين للدخول في صفقة ظاهرها صناعي عسكري، ولكنها تخفي محاولات مستميتة من جانب الدوحة لكسب أوراق عبر جماعات ضغط وإهدار أموال القطريين لصالح مقربين من الإدارة الأمريكية أو صناع القرار في واشنطن.
ويضاف إلى جملة الغرائب التي كشفها الإعلام الأمريكي بشأن هذا المشروع المشبوه، هو إخفاء تفاصيل المشروع ومصادر تمويله عن أصحاب الشأن وهم القطريون.
موقع (كونزيرفاتيف ريفيو) الأمريكي في تحقيق أجراه جوردان شاشتيل، محرر شؤون الأمن القومي، نبه إلى الخطوات القطرية التي تستنزف أموال الشعب القطري لتلميع صورة نظامهم الحاكم، دون إعلامهم حتى لو عن طريق بوق الحمدين المسمى "الجزيرة" التي تدعي الحياد وترفع شعار "الرأي والرأي الآخر"، فأين القطريون من ذلك الرأي الآخر؟
لماذا كارولينا الجنوبية؟
موقع المشروع المشبوه –حسب شاشتيل- يقع بولاية كارولينا الجنوبية، ومخصص لتصنيع طائرة مراقبة وتجسس عسكرية، عبر موجة إنفاق ضخمة في الخفاء، يتحمل القطريون نفقاتها دون علمهم.
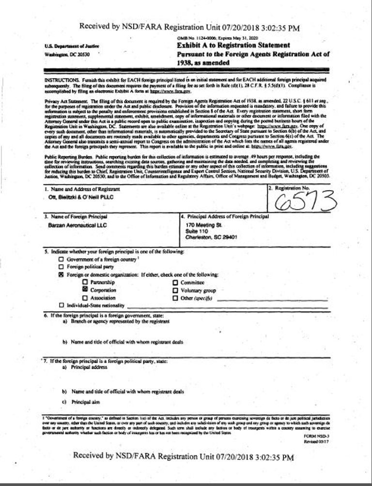
وربط الموقع الأمريكي بين اختيار كارولينا الجنوبية كموقع لمشروع الطائرات العسكرية، حيث تنفذه شركة "برزان للملاحة الجوية" التابعة لمؤسسة "برزان هولدنجز" المملوكة لوزارة الدفاع القطرية، وكون الولاية مقرا لعدد من السياسيين المقربين من الدوحة، أو بالأحرى الذين تدفع لهم قطر لاتخاذ مواقف تحسن صورتها الموصومة بدعم الإرهاب.

وحسب تقرير الموقع الأمريكي فإن السيناتور الجمهوري ليندسي جراهام المقرب من "نظام الحمدين" عقد عدة لقاءات مباشرة مع وفود رفيعة المستوى من جهاز الاستثمار القطرية (الصندوق السيادي)، الذي تعهد باستثمار المليارات في الولاية.
وعلى مدى العامين الماضيين، برز جراهام كأحد الأصوات الرئيسية المؤيدة لدولة قطر في مجلس الشيوخ الأمريكي، حيث يظهر بشكل روتيني على التلفزيون والمنصات الإعلامية الأخرى دعماً للدوحة، وفقاً للتقرير.
ونوه إلى أن أكبر مانح لهنري ماكماستر محافظ ولاية كارولينا الجنوبية، خلال حملته الانتخابية في الآونة الأخيرة، كان عضواً بارزاً في جماعة ضغط قطرية.
وبين عامي 2017 و2018 دفع عماد زوبيري، أحد أعضاء جماعات الضغط التي تمثل صندوق قطر السيادي، ما يزيد على 50 ألف دولار لحملة ماكماستر، وفقاً لتقارير تمويل الحملات الانتخابية.
وقال زوبيري لزملائه إن تبرعاته للجمهوريين كانت وسيلة دفع من أجل المزيد من سبل الوصول إلى السياسيين، وفقاً لتقرير نشرته صحيفة "نيويورك تايمز" في 5 فبراير/شباط الماضي.

برزان للملاحة الجوية
على المستوى المحلي، فإن جون تيكلينبرج عمدة تشارلستون، التي تعد موطنا لمصنع بوينج، هو أيضا صديق مقرب من "تنظيم الحمدين"، حيث "وقع إعلان تفاهم لتشجيع التنمية الاقتصادية والتعاون الثقافي والبيئي بين تشارلستون والدوحة"، بعد اجتماع مع مسؤولي صندوق قطر السيادي، حسب ما أفادت صحيفة "ذا بوست آند كورير" في فبراير/شباط 2018.
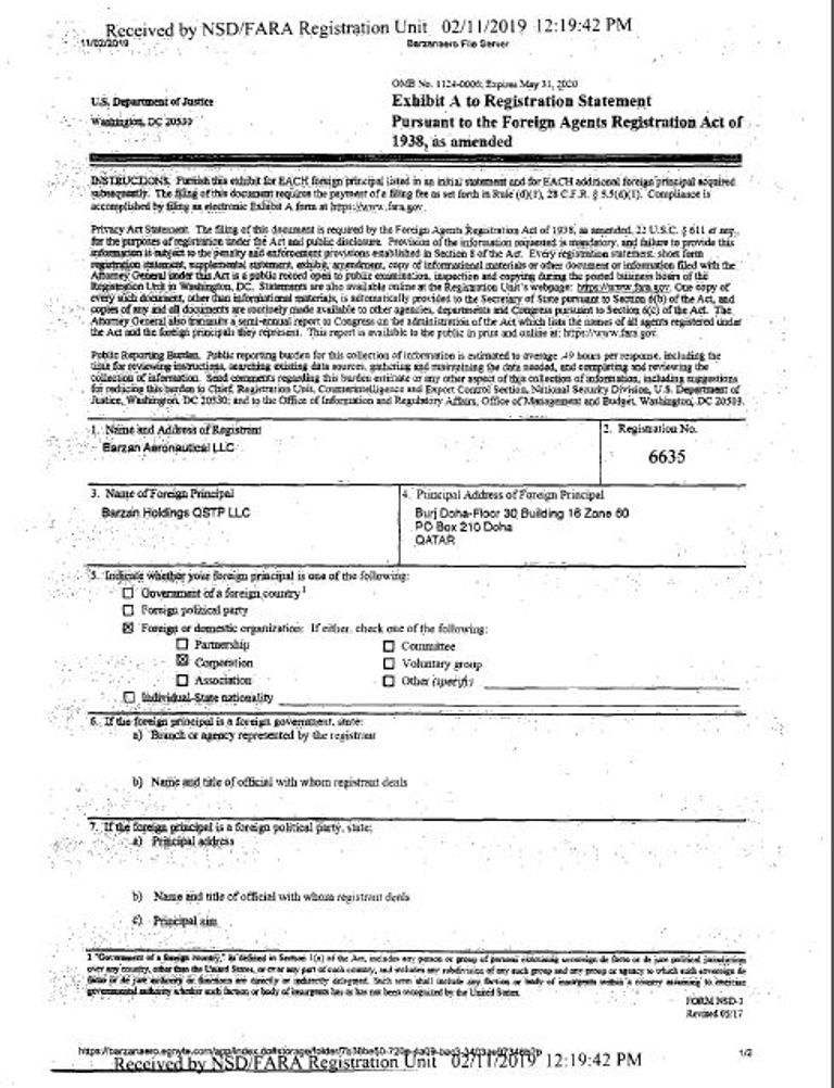
وفي 12 مارس/آذار 2018 افتتحت شركة برزان للملاحة الجوية في قطر، لتكون بمثابة بوابة تجارية لصناعة الدفاع في الدوحة، وبعد أسبوع واحد تأسست شركة تابعة لها، هي برزان للملاحة الجوية في ولاية كارولينا الجنوبية.

ويبدو أن برنامج الطائرات لا يزال في المراحل الأولى من التطوير، حيث يشير موقع شركة "برزان" إلى أن تاريخ الإطلاق المستهدف في مايو/أيار 2019.
وفي عدة مقابلات، ادعى مسؤولون قطريون أن "برزان هولدنجز" الذي مضى على إطلاقه عام واحد هو "مشروع ذو أولوية قصوى لتعزيز أهداف الدوحة الدفاعية"، وفي نوفمبر/تشرين الثاني قام أمير قطر تميم بن حمد نفسه بزيارة لمركز البحث والتطوير في "برزان".
ووفقاً للموقع، ظهرت معلومات حول طبيعة مهمة شركة "برزان للملاحة الجوية" لأول مرة في ملفات قسم تسجيل الوكلاء الأجانب (فارا) التابع لوزارة العدل الأمريكية في العام الماضي، وحددت شركتا "K Street، و "Ott, Bielitzki & O’Neill PLLC" للمحاماة مهمة "برزان للطيران"، بأنها مشروع مخصص "لتطوير وإنتاج طائرات التجسس" لقطر.

بدون تغطية إعلامية
قبل أسبوعين فقط ودون أي تغطية إعلامية تذكر، قدمت شركة "برزان للملاحة الجوية" ملفاتها لقسم تسجيل الوكلاء الأجانب، واصفة مهمتها بأنها تساعد في شراء وتطوير نظم المعلومات الاستخباراتية والمراقبة والاستطلاع المحمولة جواً للوكيل الأجنبي، وهو دولة قطر.
وفي ديسمبر/كانون الأول 2018 ويناير/كانون الثاني 2019 فقط، أدرج الوكلاء الأجانب الذين يمثلون مشروع الطائرات القطرية نصف مليون دولار كتكاليف مصاريف ضغط وإيرادات، وفقاً لبيانات "فارا".
وعلاوة على ذلك، ذكرت شركة "K Street" للمحاماة" في كشوف بيانات "فارا" أنها تتلقى 75 ألف دولار شهرياً لخدمات العلاقات الحكومية، موضحة أن أمريكياً يشغل منصب الرئيس التنفيذي لشركة واجهة، وأن مجلس إدارتها يضم تشكيلة من الأمريكيين والقطريين، ومع ذلك فإن الشركة مملوكة بنسبة 100% لوزارة الدفاع القطرية.

وسرعان ما أصبحت "برزان هولدينجز" ممثل صناعة الدفاع في قطر، حيث جمعت عشرات الملايين من الدولارات في صفقات ضخمة مع دول مختلفة ومؤسسات صناعاتها الدفاعية، ووقعت برزان عقوداً مع شركات أسلحة تركية.
وبات واضحاً استخدام "تنظيم الحمدين" موارد الطاقة الضخمة الخاصة بشعبه لحشد الأرصدة الدبلوماسية والمالية الهائلة للإنفاق على ساسة مؤثرين وشركات دفاع في كارولينا الجنوبية، بما يكفي على ما يبدو لدرجة أن الدوحة التي تمول الإرهاب تمهد لبناء مشروع طائرات تجسس عسكرية داخل أراضي الولايات المتحدة.
aXA6IDIxNi43My4yMTYuMTAzIA== جزيرة ام اند امز