"العين الإخبارية" تنشر رسالة سرية لكلينتون.. كيف روّج أوباما لمرسي سياسيا؟
الوثيقة التي جاءت في 9 صفحات، تُظهر تفاصيل المساعدة التي قدمتها إدارة أوباما للإخوان المسلمين في مصر بقيادة مرسي.
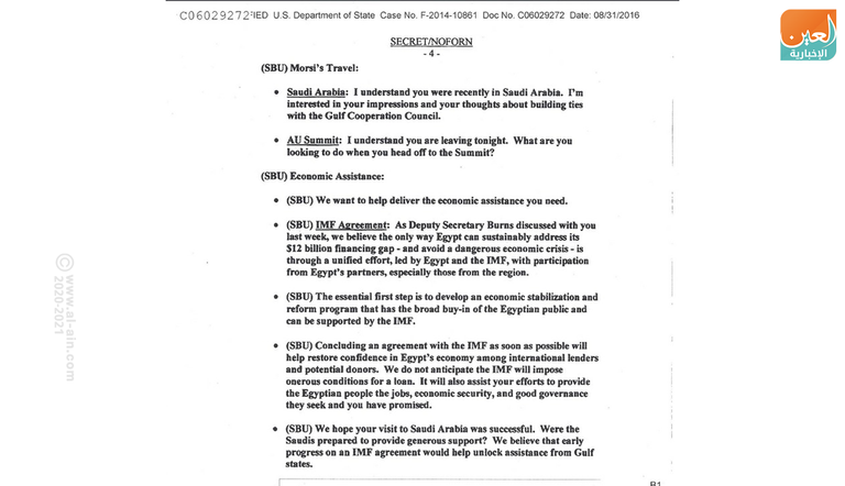
كشفت وثيقة أمريكية سرية تفاصيل المساعدة السياسية والاقتصادية التي قدمتها إدارة الرئيس الأمريكي السابق باراك أوباما لنظام الإخوان المسلمين في مصر بقيادة الرئيس الأسبق محمد مرسي.
الوثيقة التي تعرض "العين الإخبارية" تفاصيلها الكاملة، جاءت في 9 صفحات توطئة للقاء الذي عقدته وزيرة الخارجية الأمريكية السابقة هيلاري كلينتون مع مرسي.
والوثيقة التي فرض عليها السرية القائم بأعمال مساعد الوزيرة لشؤون الشرق الأدنى بيث جونز، تُظهر دور إدارة أوباما في الترويج لمرسي سياسيا حول العالم، على اعتبار أن وصوله إلى الحكم هو "انتقال مصر إلى الديمقراطية"، على حد زعمها.
وإلى جانب الشق السياسي، لم تغفل الإدارة الأمريكية المساعدات الفنية للحكومة والقطاع الخاص، للمساعدة في تنفيذ البرامج الاقتصادية والاجتماعية لنظام مرسي.

الاحتفاء بصعود الإخوان
ففي مستهل الوثيقة السرية التي أُعدت قبل اللقاء الذي عقد في 14 يوليو/تموز 2012، تهنئ كلينتون بصعود الإخوان المسلمين للحكم في مصر، قائلة "نقدم تهانينا لمرسي وللشعب المصري على هذا الإنجاز البارز في انتقال مصر إلى الديمقراطية".
واستكمالا للتهنئة، أضافت: "نقف وراء انتقال مصر إلى الديمقراطية. هذا ليس فقط الشيء الصحيح لفعله. إنه في مصلحتنا أيضًا. الشرق الأوسط يحتاج إلى مصر القوية في قلبها. والطريقة الوحيدة هي الانتقال الناجح إلى الديمقراطية".
ومعربة عن وقوف الإدارة مع نظام الإخوان، تابعت "نحن على استعداد للعمل معكم بروح الاحترام المتبادل والمصلحة المتبادلة، لمساعدة مصر على اجتياز هذا الممرا الصعب".
لكن "التقدم المطرد نحو التحول الديمقراطي الكامل"- من وجهة نظر وزيرة الخارجية الأمريكية السابقة- "سيعتمد على الاستقرار السياسي والاقتصادي، وتجنب المزيد من الصدمات الاقتصادية، وإعادة المستثمرين والسياح".
وعطفا على ما سبق، ترى كلينتون أن "حل المسائل المعقدة المتعلقة بالانتقال من خلال الحوار بدلاً من المواجهة، يمكن أن يساعد في إبقاء الأمور على المسار الصحيح".

وذهبت كلينتون إلى حد تأييد مرسي في تصريحاته، بالقول "لقد اتخذت نهجا حكيما مع رسائلك. الخطوات الملموسة في هذه المجالات ستعمل على توحيد الشعب المصري في لحظة حرجة للبلاد. سوف يعززون الدعم السياسي لحكومتك في الداخل والخارج".
واعتبرت أن من شأن ذلك "إرسال إشارة مهمة للغاية تشجع النمو الاقتصادي والاستثمار الأجنبي وتقوي التحول الديمقراطي في مصر".
وهذه ليست الوثيقة الأولى من نوعها التي تُظهر الدعم الذي قدمته إدارة أوباما لأنظمة الإسلام السياسي، إذ سبق أن نشرت "العين الإخبارية" رسائل مسربة للوزيرة الأمريكية التقت جميعها عند إشاعة الفوضى في منطقة الشرق الأوسط.
وفي العاشر من الشهر الجاري، تعهد وزير الخارجية الأمريكي مايك بومبيو، بنشر رسائل البريد الإلكتروني المثيرة للجدل لهيلاري كلينتون مرشحة الديمقراطيين في الانتخابات الرئاسية السابقة عام 2016.