تقرير أممي.. تركيا تسمح لإيران باغتيال معارضين بأراضيها
وجه مقررو الأمم المتحدة اتهامات ضمنية لتركيا بالسماح للمخابرات الإيرانية بارتكاب أو تدبير عمليات اغتيال على أراضيها.
وكشفت رسالة للأمم المتحدة، نشرها موقع نورديك مونيتور السويدي أن تركيا سمحت لإرهابي إيراني، لعب دورا رئيسيا في اغتيال مسعود مولوي وردنجاني في إسطنبول، بالفرار إلى إيران.
وقتل وردنجاني بالرصاص في أحد شوارع إسطنبول 14 نوفمبر/ تشين الثاني العام الماضي، بعد عام من هروبه من إيران وطلبه اللجوء في تركيا.
ونقلت وكالة رويترز عن مسؤولين أتراك أن اثنين من عناصر الاستخبارات في القنصلية الإيرانية بإسطنبول حرضا على قتله.
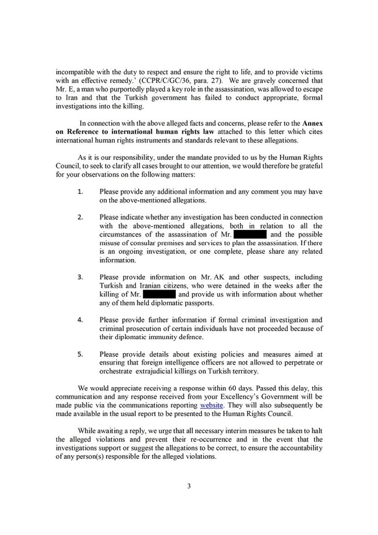
وبعثت المقررة المعنية بحالات الإعدام خارج القضاء بالأمم المتحدة، أغنيس كالامارد، والمقرر المعني بحالات حقوق الإنسان في إيران، جويد رحمن، رسالة مشتركة إلى الحكومة التركية بتاريخ 4 أغسطس/ آب الماضي، أعربا فيها عن قلقهما بشأن قتل وردنجاني في إسطنبول، بأوامر ومشاركة السلطات الإيرانية.
وكشفت الرسالة عن فشل الحكومة التركية في إجراء تحقيقات رسمية ملائمة في اغتيال وردنجاني.

وطلب مقررو الأمم المتحدة من أنقرة تقديم معلومات بشأن التحقيقات التي أجرتها بقضية اغتيال وردنجاني، واحتمالية تخطيط القنصلية الإيرانية لعمليات اغتيال أخرى.
وحثت الرسالة الحكومة التركية، على تقديم تفاصيل بشأن السياسات والتدابير التي اتخذتها لضمان عدم السماح لضباط المخابرات الأجنبية بارتكاب أو تنظيم عمليات اغتيال، على الأراضي التركية.
ووفقًا لرسالة الأمم المتحدة، فقد انتقل وردنجاني إلى إسطنبول يونيو/ حزيران 2018، وأدار قناة في تركيا على موقع التواصل الاجتماعي تليجرام تسمى "الصندوق الأسود"، التي عملت على فضح فساد الحكومة الإيرانية والقضاء وأجهزة المخابرات.
وتشير تقارير إعلامية إلى أنه كان ناشطًا على وسائل التواصل الاجتماعي، وعلى اتصال مع المعارضين الإيرانيين باستخدام تويتر.

كان فاردانجاني قد نشر رسالة على وسائل التواصل الاجتماعي تنتقد الحرس الثوري الإيراني قبل ثلاثة أشهر من مقتله، قال فيها: "سأستأصل قادة المافيا الفاسدين. صلوا حتى لا يقتلوني قبل أن أفعل هذا".
وتعرف وردنجاني على مواطن إيراني اسمه على أصفنجاني، المتهم بالإبلاغ عنه للمخابرات الإيرانية، والمساعدة في تنفيذ خطة اغتياله، قبل أن يفر بمساعدة السلطات التركية إلى إيران.
ويشير تقرير وكالة رويترز للأنباء إلى أن فاردنجاني عمل في مجال الأمن الإلكتروني في وزارة الدفاع الإيرانية، وأصبح بعد ذلك من أشد منتقدي السلطات الإيرانية.
وذكر تقرير الشرطة التركية أن أصفنجاني كان قائد الفريق الذي نفذ عملية اغتيال فاردنجاني.
وقال مسؤول تركي لرويترز إنه بعد ثلاثة أيام من عملية القتل، نقل مهرب إيراني أصفنجاني عبر الحدود من تركيا إلى إيران.
وبعد أسبوع من اغتيال فاردنجاني، وصف وزير الخارجية الأمريكي مايك بومبيو الحادث بأنه "مثال مأساوي آخر في سلسلة طويلة عمليات الاغتيال المدعومة من طهران" للمعارضين.